1. 순열(Permutation)
- 서로 다른 것들 중 몇 개를 뽑아서 한 줄로 나열하는 것
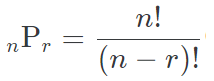
- 서로 다른 n개 중 r개를 택하는 순열은 아래와 같이 표현할 수 있다.
수식으로 나타내면 다음과 같다.

위 식을 간략화 하면 다음과 같다

순열 만드는 방법으로 반복문과 재귀문을 활용한 방법이 있다.
먼저 반복문으로 순열을 구하는 방법은 다음과 같다.
- 기존 수와 중복되지 않게 숫자를 한 개씩 뽑는 일을 가능한 모든 수에 대해 반복해서 시도한다.
- 목표하는 횟수만큼 "1"을 반복
(뽑는 횟수가 고정되어 있다면 목표하는 횟수까지 돌아가는 반복문으로 해결할 수 있지만, 정해지지 않았다면 뽑는 횟수만큼 재귀적으로 호출하는 구조를 이용하는 것이 적합할 수 있다.) (여기를 참고)

아래 코드는 반복문을 이용해 배열의 원소를 swap하여 순열을 구하는 방법이다.
public class PermutationRecursive {
public static void main(String[] args) {
String str = "ABC";
int n = str.length();
Permutation permutation =
new Permutation();
permutation.permute(str, 0, n-1);
}
private void permute(String str, int l, int r) {
if (l == r) System.out.println(str);
else {
for (int i = l; i <= r; i++) {
str = swap(str,l,i);
permute(str, l+1, r);
str = swap(str,l,i);
}
}
}
public String swap(String a, int i, int j) {
char temp;
char[] charArray = a.toCharArray();
temp = charArray[i] ;
charArray[i] = charArray[j];
charArray[j] = temp;
return String.valueOf(charArray);
}
}
출력
ABC
ACB
BAC
BCA
CBA
CAB
1-1. 순열 구현
재귀문으로 순열을 구현하는 방법은 다음과 같다.
- 기존 수와 중복되지 않게 숫자를 한 개씩 뽑는 일을 가능한 모든 수에 대해 반복해서 시도
- 현재까지 뽑은 순열 수(다음 수가 들어갈 index)를 넘겨주며 재귀 호출
- 중복 검사 조건을 적절하게 초기화
- 인덱스에 해당하는 숫자가 사용중인지 저장하는 boolean 배열을 생성
- 해당 인덱스 값을 참조했을 때 true면 이미 사용 중이므로 다음 인덱스로 넘어가서 진행
package day0804.practice;
import java.util.Arrays;
import java.util.Scanner;
public class Permutation {
static int n, r, totalCnt; // 전역변수 n(숫자 전체 개수), r(택하는 수), 카운트 갯수 선언
static int[] nums; // 뽑은 숫자들을 저장할 배열
static int[] inputArr; // 전체 숫자가 저장된 배열
static boolean[] isSelect; // 뽑현던 숫자를 다시 뽑지 않게 하기 위한 숫자 체크
public static void main(String[] args) {
System.out.println("n과 r을 입력하세요 (ex=>4 2)");
Scanner sc = new Scanner(System.in);
n = sc.nextInt();
r = sc.nextInt();
totalCnt = 0;
nums = new int[r]; // 택하는 숫자만큼 배열 생성 (뽑은 숫자를 저장할 배열)
isSelect = new boolean[n+1]; // 숫자체크 배열 생성
inputArr = new int[n]; // 사용자가 입력하여 저장할 수 배열
// 전체 숫자가 저장된 배열에 값 입력
for(int i = 0; i < n; i++) {
inputArr[i] = sc.nextInt();
}
permutation(0);
System.out.println("순열의 총 경우의 수 = " + totalCnt);
}
public static void permutation(int cnt) {
// 카운트 숫자를 매개변수로 주어 뽑으려는 수까지 cnt를 세게되면 메서드 종료
if(cnt == r) {
totalCnt++;
System.out.println(Arrays.toString(nums));
return;
}
for (int i = 0; i < n; i++) {
// 시도하는 수가 선택되었는지 판단한다.
if(isSelect[i]) continue;
// 체크되어 있지 않았다면(선택되지않은 수) 뽑으려는 배열에 값 저장
nums[cnt] = inputArr[i];
isSelect[i] = true; // 숫자를 뽑았다면 true (체크됨)
permutation(cnt+1); // 다음 숫자 뽑으러 가기
isSelect[i] = false; // 사용한 수를 다시 되돌림
}
}
}
이를 입력과 출력을 수행하면 다음과 같다.
// 입력
n과 r을 입력하세요 (ex=>4 2)
5 3
2 4 6 8 10
// 출력
순열의 총 경우의 수 = 60
1-2. 중복 순열 구현
중복순열은 순열과 다르게 다음 수를 선택할때 중복 선택을 허용한다.
중복순열의 경우의 수는 다음과 같다.

위의 중복 순열의 경우의 수를 일반화하면, n개의 수 중 r개를 선택하는 중복 순열은 n의 r승개의 경우의 수를 가짐을 알 수 있다.
위의 순열과 다른점은 isSelected로 중복을 체크하는 부분의 유무이다.
package day0804.practice;
import java.util.Arrays;
import java.util.Scanner;
public class Permutation {
static int n, r, totalCnt; // 전역변수 n(숫자 전체 개수), r(택하는 수), 카운트 갯수 선언
static int[] nums; // 뽑은 숫자들을 저장할 배열
static int[] inputArr; // 전체 숫자가 저장된 배열
public static void main(String[] args) {
System.out.println("n과 r을 입력하세요 (ex=>4 2)");
Scanner sc = new Scanner(System.in);
n = sc.nextInt();
r = sc.nextInt();
totalCnt = 0;
nums = new int[r]; // 택하는 숫자만큼 배열 생성 (뽑은 숫자를 저장할 배열)
inputArr = new int[n]; // 사용자가 입력하여 저장할 수 배열
// 전체 숫자가 저장된 배열에 값 입력
for(int i = 0; i < n; i++) {
inputArr[i] = sc.nextInt();
}
permutation(0);
System.out.println("순열의 총 경우의 수 = " + totalCnt);
}
public static void permutation(int cnt) {
// 카운트 숫자를 매개변수로 주어 뽑으려는 수까지 cnt를 세게되면 메서드 종료
if(cnt == r) {
totalCnt++;
System.out.println(Arrays.toString(nums));
return;
}
for (int i = 0; i < n; i++) {
nums[cnt] = inputArr[i];
permutation(cnt+1); // 다음 숫자 뽑으러 가기
}
}
}
2. 조합(Combination)
서로 다른 n개의 원소 중 r개를 순서 없이 골라낸 것을 조합(Combintaion)이라고 부른다.
순열과 다르게 순서를 고려하지 않기 때문에 조합의 경우의 수 = 순열의 경우의 수 / r! (r팩토리얼) 이다.
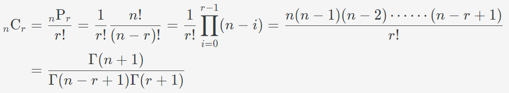
2-1. 조합
조합을 수식으로 나타내면 다음과 같다.

백트래킹을 이용하여 조합구현하면 다음과 같다.
import java.util.Arrays;
import java.util.Scanner;
public class CombinationTest {
static int N, R, totalCnt;
static int[] nums, input; // 뽑힌 숫자들과, 전체 숫자 리스트 선언
public static void main(String[] args) {
Scanner sc = new Scanner(System.in);
System.out.print("N입력 : ");
N = sc.nextInt();
System.out.print("R입력 : ");
R = sc.nextInt();
totalCnt = 0; // 경우의 수 카운트
nums = new int[R]; // 뽑은 숫자 리스트
input = new int[N]; // 전체 숫자 리스트 입력
for (int i = 0; i < N; i++) {
input[i] = sc.nextInt();
}
combination(0,0);
System.out.println("총 경우의 수 : " + totalCnt);
}
// cnt: 카운트직전까지 뽑은 조합에 포함된 수의 갯수
// start: 탐색을 시작할 인덱스 위치
public static void combination(int cnt, int start) {
// 기저조건 만족 : 뽑아야 할 숫자 개수를 만족했을 때
if(cnt == R) {
totalCnt++;
System.out.println(Arrays.toString(nums));
return;
}
// 가능한 모든 수에 대해 시도 (input배열의 모든 수 시도)
// start부터 처리시 중복 수 추출 방지 및 순서가 다른 조합 추출 방지
for(int i = start; i < N; i++) {
// start위치부터 처리됐으므로 수열과 다르게 중복체크할 필요가 없다.
// 앞쪽에서 선택되지 않았다면 수를 사용
nums[cnt] = input[i];
// 다음 수 뽑으러 가기
combination(cnt+1, i+1);
}
}
}
출력
N입력 : 5
R입력 : 3
1 2 3 4 5
총 경우의 수 : 10
2-2. 중복 조합
중복조합은 중복을 허용하는 조합이다.
중복조합의 수식은 다음과 같다.

위의 조합 코드에서 새로운 수를 뽑을 때 매개변수로 i+1을 해주었는데 중복이 나오지 않게 탐색하려고 하였다.
하지만 중복조합은 중복을 허용하므로 매개변수 i를 주어 같은수를 뽑을 수 있게 하였다.
구현은 다음과 같다.
import java.util.Arrays;
import java.util.Scanner;
public class CombinationDuplicate {
static int N, R, totalCnt;
static int[] nums, input; // 뽑힌 숫자들과, 전체 숫자 리스트 선언
public static void main(String[] args) {
Scanner sc = new Scanner(System.in);
System.out.print("N입력 : ");
N = sc.nextInt();
System.out.print("R입력 : ");
R = sc.nextInt();
totalCnt = 0; // 경우의 수 카운트
nums = new int[R]; // 뽑은 숫자 리스트
input = new int[N]; // 전체 숫자 리스트 입력
for (int i = 0; i < N; i++) {
input[i] = sc.nextInt();
}
combination(0,0);
System.out.println("총 경우의 수 : " + totalCnt);
}
// cnt: 카운트직전까지 뽑은 조합에 포함된 수의 갯수
// start: 탐색을 시작할 인덱스 위치
public static void combination(int cnt, int start) {
// 기저조건 만족 : 뽑아야 할 숫자 개수를 만족했을 때
if(cnt == R) {
totalCnt++;
System.out.println(Arrays.toString(nums));
return;
}
// 가능한 모든 수에 대해 시도 (input배열의 모든 수 시도)
// start부터 처리시 중복 수 추출 방지 및 순서가 다른 조합 추출 방지
for(int i = start; i < N; i++) {
// start위치부터 처리됐으므로 수열과 다르게 중복체크할 필요가 없다.
// 앞쪽에서 선택되지 않았다면 수를 사용
nums[cnt] = input[i];
// 다음 수 뽑으러 가기
combination(cnt+1, i);
}
}
}
출력
N입력 : 5
R입력 : 3
총 경우의 수 : 35
'Problem Solving > Algorithm' 카테고리의 다른 글
| [알고리즘] 플로이드-워셜(Floyd-Warshall) 알고리즘 (0) | 2022.05.17 |
|---|---|
| [알고리즘] Palindrome 알고리즘 - 파이썬 (0) | 2022.05.13 |
| [알고리즘] 누적합 알고리즘 (0) | 2022.05.13 |
| [알고리즘] 이진 탐색 (Binary Search) (0) | 2022.05.11 |
| [알고리즘] 정렬 (선택, 버블, 삽입, 퀵, 머지, 계수) (0) | 2022.05.10 |